姿态信息不连续条件下的低轨/GNSS卫星联合定轨研究
在低轨卫星星座实时增强导航中,由于组网过程中低轨卫星过境速度较快,从而导致部分历元下行数据缺失。这一现象使得实时联合处理稀疏站/区域站与低轨卫星星载数据时,常面临低轨卫星的一些必要信息,如姿态信息不完整的问题。而低轨卫星的姿态信息在精密定轨过程中,在力学模型方面,与一些非引力模型相关,例如大气阻力和太阳光压模型。在观测模型方面,天线相位中心的校正需要卫星姿态信息从星固系转换到惯性坐标系。因此研究姿态数据稀疏或者中断情况下的插值算法是低轨/GNSS卫星联合定轨的关键支撑。
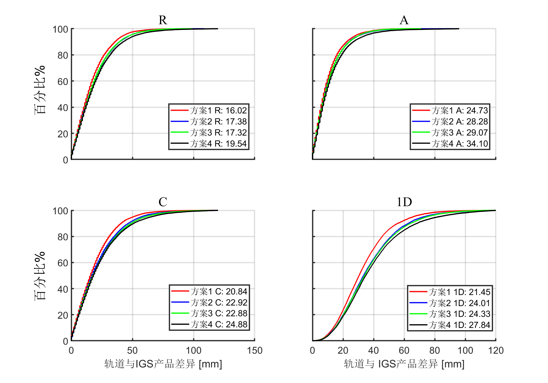
国家授时中心研究团队针对此问题,对姿态控制严格的低轨卫星,提出了一种利用中断前名义姿态和实际姿态进行插值的方法,并分别基于稀疏站和区域站联合GRACE-C/D卫星、Swarm-A/B/C卫星以及Sentinel-3A/3B卫星共计7颗科学卫星进行了以下四种姿态方案的联合定轨试验。
方案1:实际姿态四元数完整连续
方案2:姿态四元数每连续1小时中断1小时
方案3:姿态四元数每连续1小时中断2小时
方案4:姿态四元数每连续1小时中断3小时
结果表明,基于稀疏站,利用姿态数据插值方法进行低轨卫星/GNSS联合定轨可以实现GPS卫星2~3厘米的轨道精度和LEO卫星1~3厘米的轨道精度,证明了姿态四元数插值方法的可靠性。基于中国境内区域站和7颗LEO卫星进行联合定轨时,GPS卫星的轨道精度在5~6厘米之间,LEO卫星的轨道精度在5~7厘米之间。
表1 稀疏站条件下,基于4种姿态数据方案联合定轨后低轨卫星的定轨精度
|
低轨卫星/mm |
方案1 |
方案2 |
方案3 |
方案4 |
|
GRACE-C |
14.37 |
14.12 |
14.28 |
14.30 |
|
GRACE-D |
14.38 |
14.16 |
14.35 |
14.38 |
|
Swarm-a |
23.05 |
25.42 |
24.40 |
26.68 |
|
Swarm-b |
21.65 |
24.30 |
23.28 |
25.62 |
|
Swarm-c |
23.28 |
25.60 |
24.60 |
26.93 |
|
Sentinel-3A |
24.58 |
27.26 |
36.50 |
29.13 |
|
Sentinel-3B |
23.22 |
27.04 |
25.20 |
28.88 |

图1 稀疏站条件下,基于4种姿态数据方案联合定轨后GPS的定轨精度
附件下载: